Drobečková navigace

Úvod > Rozúčtování vody a tepla

Rozúčtování vody a tepla

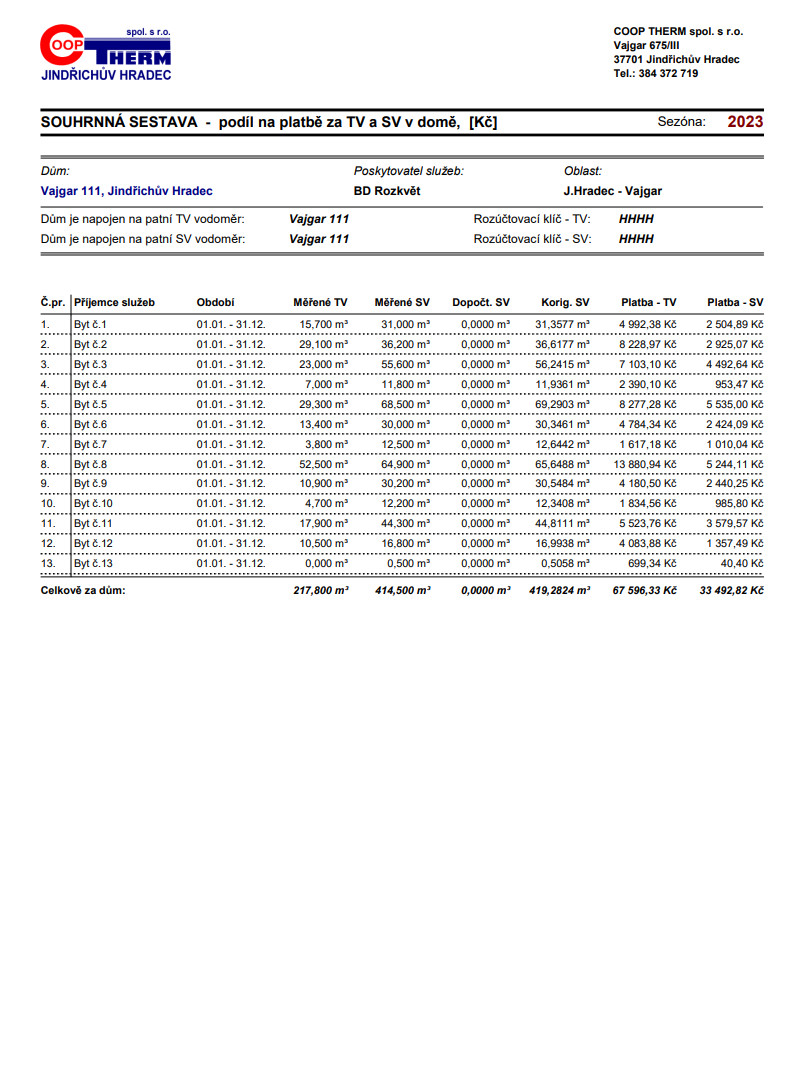
Souhrnná sestava rozúčtování vody

Rozúčtování s přehledným výpisem všech uživatelů, součtem náměrů měřidel a rozúčtované částky mezi uživatele z celkových nákladů za energie.

vzor_rozuctovani_vody_souhrnne.jpg

Detailní sestava rozúčtování vody

Rozúčtování s přehledným výpisem všech měřidel, jejich náměrů a rozúčtovanou částkou na uživatele z celkových nákladů za energie.

vzor_rozuctovani_vody_detailni.jpg

Souhrnná sestava rozúčtování tepla

Rozúčtování s přehledným výpisem všech uživatelů, součtem náměrů měřidel a rozúčtované částky mezi uživatele z celkových nákladů za energie.

rozuctovani_vzor_souhrnne_teplo.jpg

Detailní sestava rozúčtování tepla

Rozúčtování s přehledným výpisem všech měřidel, jejich náměrů a rozúčtovanou částkou na uživatele z celkových nákladů za energie.

rozuctovani_vzor_detailni_teplo.jpg

Průvodce rozúčtováním tepla

Pro snadnou orientaci v rozúčtování nákladů na vytápění Vašeho bytu naleznete na této stránce vysvětlení způsobu rozúčtování a popis jeho jednotlivých položek.

Celkové náklady na vytápění v základní zúčtovací jednotce jsou rozděleny na základní složku (ZS) a spotřební složku (SS). Náklady a poměr obou složek je určen poskytovatelem služeb.

Základní složka je rozdělena mezi příjemce služeb podle poměru velikosti započitatelné podlahové plochy (viz příloha č. 1 k vyhlášce č. 269/2015 Sb.) bytu či nebytového prostoru k celkové započitatelné podlahové ploše bytů a nebytových prostorů v zúčtovací jednotce.

Spotřební složka je rozdělena mezi příjemce služeb úměrně výši náměru indikátorů vytápění s použitím korekcí a výpočtových metod, které zohledňují i rozdílnou náročnost vytápěných místností na dodávku tepelné energie danou jejich polohou. Detailní popis korekcí je uveden v příloze smlouvy o službách.

Průvodce rozúčtováním tepla (*.pdf - 1303kB)

Průvodce rozúčtováním